Bode Diagramm Zeichnen

   25/08/2020 00:00

Bode Diagramm Zeichnen. Warum dem so ist, erklären wir dir jetzt! Lehrstuhl messtechnik und sensorik prof.

Nyquist And Bode Diagramm Geogebra
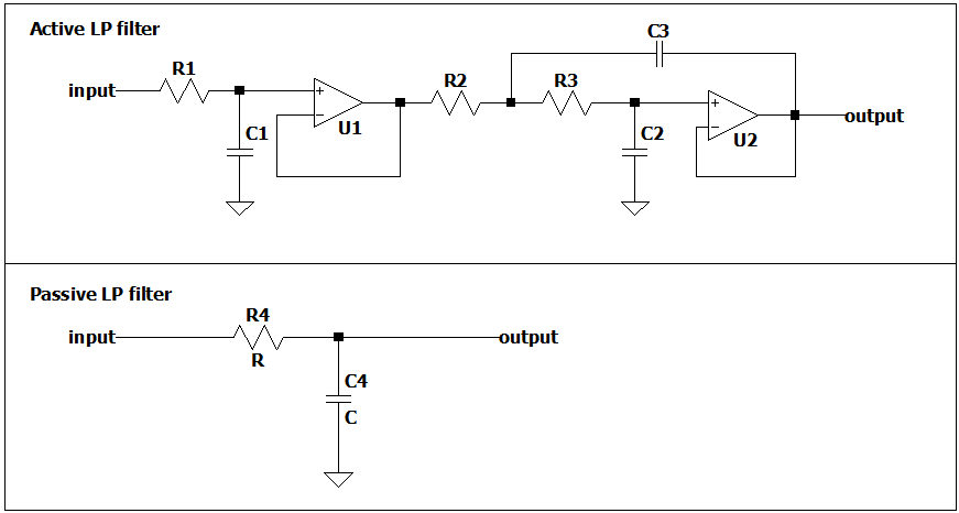
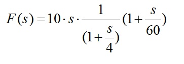
Leider habe ich das ganze nicht so ganz nur das mit dem genauen zeichnen bei gegebenem g(s) will mir irgendwie nicht verständlich werden. Das bode diagramm ist eine graphische darstellung der frequenzantwort eines systems. La définition du gain indique tout particulièrement une échelle logarithmique en. Ein graph zeigt den betrag (amplitudenverstärkung), der andere das argument (die phasenverschiebung) einer komplexwertigen funktion in abhängigkeit von der frequenz.

Bin grad an dem beispiel dran.

La définition du gain indique tout particulièrement une échelle logarithmique en. Un diagramme de bode est un diagramme présentant simultanément le gain et la phase en fonction de la pulsation. Das bode diagramm ist eine graphische darstellung der frequenzantwort eines systems. Bin grad an dem beispiel dran.

©2021 Ausmalbild Blog - All Rights Reserved